
在《星球大战:天行者崛起》中,一艘绪斯同级歼星舰从太空发射了一束超级强大的光束,炸毁了奇基米星
新浪科技讯 北京时间5月8日消息,据国外媒体报道,从奥德朗星(Alderaan)到奇基米星(Kijimi),西斯的君主们显然很喜欢把行星炸成碎片。那么,《星球大战》里的末日武器究竟有多强大呢?
在电影《星球大战:天行者崛起》中,最终秩序想给银河系里的每个人一个教训。于是,在银河皇帝帕尔帕廷的命令下,一艘绪斯同级歼星舰从太空发射了一束超级强大的光束,炸毁了奇基米星。
你是否也在想:炸毁一颗行星需要多少能量?当然,这只是一个学术问题,即使并不真实,但计算起来仍然很有意思。
行星爆炸的视频分析
首先,我们需要估算行星炸开后其碎片进入太空的速度。我们可以通过跟踪视频分析应用程序做到这一点。具体的想法是,先从电影中挑选出一些特定的片段,然后在视频的每一帧中映射它们的位置。
这个位置是用像素来测量的,但是我们可以将其缩放到场景中一个已知的对象上,从而转换成距离。然后,我们可以从帧速率中得到时间数据,在这种情况下是每秒24帧。假设场景是以正常速度拍摄的(即不是慢动作),那每一帧就代表1/24秒。有了位置和时间数据,我们就可以计算速度了。
为了修正距离比例,这里将使用奇基米星本身的大小。这个星球有多大?谁也不知道,我们假设它的半径是1k,其中K =奇基米星的半径。是的,用我们正在测量的东西来定义单位看起来很傻,但其实在科学中一直都是这么做的(在人们知道地球到太阳的实际距离之前,该距离被设定为1个天文单位)。
还有一个问题。我们只能测量物体垂直于摄像机(即画面平面)移动的速度。为什么?假设有一大块碎片朝摄像机的方向斜着飞来,那么在每一帧中,它会稍微向一侧移动,从而变得稍微大一些。但如果只画出该碎片的像素位置,就会低估它经过的距离和速度。
考虑到这一点,我们可以挑选三块碎片,它们从行星的边缘(如摄像机中所看到的)开始以不同的方向向外扩散。跟踪应用程序随后给出了碎片行进距离(从行星中心测量的每个物体的径向位置)与时间的关系图。
可以看到,它们基本上都是直线运动,每条直线的斜率(位置变化/时间变化)是径向速度,单位是K/s。绿色和蓝色物体的速度非常相似,大约是0.3K/s;红色物体开始是0.24K/s然后下降到0.08K/s。这可能是软件的误差;当一堆东西在周围乱飞时,很难在视野中追踪物体。在后来的一张照片中也观察到了一些碎片,发现它们的速度大约是0.4K/s。因为不同的物体以不同的速度运动,所以可以用0.3K/s作为一个粗略的平均值。

跟踪应用程序随后给出了碎片行进距离(从行星中心测量的每个物体的径向位置)与时间的关系图
是快还是慢?这取决于K的值,如果这个行星和地球一样大,那么K就是637万米。用这个来转换速度单位,得到的行星碎片速度就是每秒190万米。这是超级快的速度,但仍然只是光速(3亿米/秒)的0.6%(这是好事,因为当物体接近光速时会发生奇怪的事情)。
当然,如果行星的半径大于地球半径,那碎片速度会更高。这可能吗?在我们的太阳系中,地球是最大的岩石行星,人们可以在上面行走。像木星这样的行星要大得多,但它们没有一个结实的岩石表面,因此在它们爆炸时不会喷射出岩石碎片。
在太阳系之外,大多数已知的系外行星是像木星这样的气态巨行星,它们的密度很低,表明并非由岩石构成。不过,科学家也发现了一些类地行星。其中最大的一颗是开普勒-20b(Kepler-20b),其半径是地球的1.87倍。以这个尺度来测量视频,计算得到的碎片速度可达350万米/秒仍然远低于光速。
这需要多少能量?
现在我们可以回答你的问题了。让我们从三个粗略的近似值开始。假设这颗行星和地球一样大,半径为637万米。我们也用地球的质量,5.97210^24 kg,并假设密度是均匀的(当然实际并非如此)。
最后,我们假设所有的行星碎片都以50万米/秒的平均速度被抛出。这比视频测量结果慢多了。为什么要降低速度呢?因为视频中追踪到的可能是最快的碎片,处于爆炸的前沿。
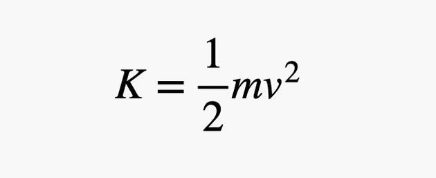
根据这个平均速度估计,现在可以计算出爆炸的总能量,即所有飞行碎片的动能(K)(抱歉,这里用K来表示两种不同的东西)。这个总动能是m(行星的总质量)和v(碎片运动的平均速度)的函数:

利用地球的质量和对碎片速度的较低估计(50万米/秒),可以得到7.46510^35焦耳的能量。举个例子,如果你从地板上抓起一本物理课本放在桌子上,那需要10焦耳的能量。想象一下,就在10后面加上35个0这的确是一个很大的数字。
歼星舰的武器有多强大?
功率的定义是能量变化的速率,用公式表达即:

如果能量以焦耳为单位,时间以秒为单位,那么功率的单位就是瓦特。所以让我们回顾一下视频,估计一下歼星舰把所有这些能量送到地球上所需要的时间。在这里,假设时间间隔大约为10秒。
顺便说一下,这并不是激光武器,尽管Wookieepedia(一个提供《星球大战》虚构世界信息的网络百科全书)称它为超级激光。但如果是激光,那它将是隐形的。你可以在地球上看到激光束,因为光线会被灰尘粒子和其他东西反射,而在太空中,不会有任何东西散射光束,因此也不会有任何东西进入你的眼睛。你只会看到星球突然爆炸。
不管怎样,在10秒的时间内,能量变化是7 x 10^35焦耳,这就意味着功率是7 x 10^34瓦。
作为比较,你可以想象自己能利用所有来自太阳的辐射。这将是相当困难的,因为太阳向各个方向发光。你得在太阳周围装上一个巨大的球形太阳能电池板,就像戴森球一样。假设你可以做到,那么太阳的总输出功率将是3.8 x 10^26瓦。
没错,这意味着歼星舰的武器比我们的太阳还要强大1亿倍(10^8倍)。换句话说,最终秩序的那些星际飞船拥有数以亿计个太阳的能量。这确实是一个令人生畏的对手。但你知道汉索罗会说什么吗?永远别跟我说几率。
随着人类工资革命的进程,人类对能源的用粮食越来越大,这个时候清洁高效的能源成为所有人类的苛求。人类为什么要建造..
2026-02-25扫描二维码分享到微信或朋友圈